大公文匯全媒體報道,香港大學李嘉誠醫學院和香港中文大學醫學院最近一項聯合研究發現,相比未接種疫苗的人士,已接種疫苗人士在感染新型冠狀病毒變異株Omicron後能對不同的新冠病毒變異株產生更強烈和更廣泛的中和病毒抗體反應。未接種疫苗人士即使曾經感染新冠病毒,亦須接種新冠疫苗。
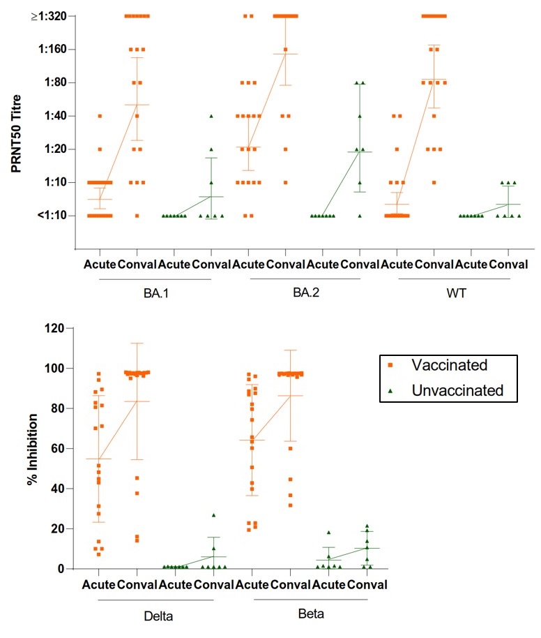
是次研究結果顯示,從未接種新冠疫苗的人士在感染Omicron病毒株時,抗體反應較弱,這情況亦僅限於針對Omicron病毒株才出現。相比之下,已完成接種疫苗人士在經歷Omicron病毒株突破性感染時,能夠產生更強烈及有效的抗體反應,比從未接種新冠疫苗的人士高出6倍或以上。更重要的是,已接種疫苗人士的中和病毒抗體反應更廣泛,對其他新冠變異株如Beta和Delta病毒株也可產生抗體反應。
港大公共衞生學院病毒學講座教授裴偉士表示,已完成接種復必泰或科興疫苗的人士,在經歷突破性感染時,均具有非常強烈而廣泛的免疫力來對抗Omicron BA.1、BA.2和其他不同的新冠病毒變異株。接種過疫苗的人士即使不幸受感染,感染的過程亦能刺激身體產生更好的免疫反應,有助訓練身體,為將來可能再次被新的變異株感染而作好準備。
中大教授許樹昌指出,在未接種過疫苗的人群中,自然感染Omicron病毒株引起的抗體反應較弱,而且對其他新冠變異株沒有廣泛的保護作用。強烈建議這些未接種過疫苗的患者在完全康復後(即感染後至少一個月或以後)接種疫苗。
編輯:叁山
關鍵詞:香港大學中文大學醫學院疫苗抗體
評論
查看更多評論>>
加載中……
